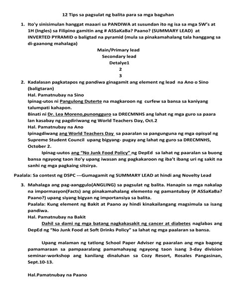
Balitang Bayan: Pagsulat Ng Script Para Sa Balita

M.Maidsafe 148 views
Balitang Bayan: Pagsulat Ng Script Para Sa Balita

Balitang Bayan: Pagsulat ng Script para sa Balita

Guys, napapansin niyo ba kung gaano kabilis dumaloy ang impormasyon sa ating paligid? Isa sa mga pinakamalakas na paraan para malaman natin ang mga nangyayari ay sa pamamagitan ng balita . Pero, naitanong niyo na ba kung paano ginagawa ang mga script para sa mga news broadcasting na napapanood natin araw-araw? Hindi lang basta pagbabasa ng mga salita yan, kundi isang masusing proseso ng pagsusulat na kailangang maging malinaw, tumpak, at nakakaengganyo. Kung interesado kayong malaman ang mga sikreto sa likod ng isang epektibong balitang script sa Tagalog , nasa tamang lugar kayo. Dito, babalikan natin ang mga pundasyon ng pagsusulat ng balita, mula sa pagkuha ng tamang anggulo hanggang sa paggawa ng isang script na madaling maintindihan ng lahat. Tandaan, ang layunin natin ay hindi lang basta magbigay ng impormasyon, kundi pati na rin ang magbigay ng konteksto at linaw para sa ating mga manonood. Kaya't kung kayo ay nagbabalak maging isang broadcast journalist, o gusto lang maintindihan kung paano nabubuo ang mga balita, halina't sabay-sabay nating tuklasin ang mundo ng news broadcasting script Tagalog .

Table of Contents

    Ang Kahalagahan ng Malinaw na Pagsulat sa News Broadcasting

    Para sa mga nagsisimula sa mundo ng news broadcasting , ang pinakamahalagang pundasyon ay ang kakayahang magsulat ng malinaw at epektibong script. Sa balitang script sa Tagalog , ang bawat salita ay may bigat. Hindi lang basta paglilista ng mga pangyayari, kundi ang paglalatag ng kwento na madaling sundan ng mga manonood. Isipin niyo, ang mga tao ay nakikinig habang gumagawa ng iba pang bagay – nagluluto, naglilinis, o nagmamaneho. Kaya naman, ang script na inyong isusulat ay dapat kayang makuha ang atensyon nila agad at mapanatili ito hanggang sa huli. Paano natin ito gagawin? Una, kailangan nating maging maikli at direkta . Iwasan ang mga mahahabang pangungusap na nakakalito. Gamitin ang mga salitang pangkaraniwan at madaling maintindihan. Para sa mga propesyonal na mamamahayag, mahalaga rin ang pagiging tumpak . Bawat detalye, bawat pangalan, bawat petsa, kailangang tama. Ang isang maling impormasyon ay maaaring magdulot ng malaking problema, hindi lang sa kredibilidad ng inyong istasyon, kundi pati na rin sa mga taong umaasa sa inyong balita. Bukod pa diyan, ang tono ng inyong pagsulat ay napakahalaga. Dapat ito ay propesyonal, pero hindi naman dapat masyadong pormal na parang wala kayong pakialam. Kailangan ninyong ipakita na mahalaga sa inyo ang kwentong inyong ibinabahagi. Kapag nagsusulat tayo ng news broadcasting script Tagalog , isipin natin na parang kinakausap natin ang isang kaibigan na kailangan nating bigyan ng mahalagang impormasyon. Ang pagiging malikhain sa pagsusulat ay hindi rin masama. Hindi ibig sabihin nito ay gagawa tayo ng kathang-isip, kundi ang paggamit ng mga salitang makakapagbigay ng mas malinaw na larawan sa isipan ng manonood. Halimbawa, sa halip na sabihing "may nasunugan", maaari nating sabihing " pugon ng apoy ang bumalot sa ilang bahay " para mas maramdaman ng manonood ang sitwasyon. Sa huli, ang layunin ay maghatid ng balita na hindi lang impormatibo, kundi pati na rin nakakaantig at nakapagbibigay ng kahulugan. Ito ang mga pundasyon para sa epektibong news broadcasting script Tagalog na tatatak sa puso at isipan ng mga mamamayan.

    Mga Hakbang sa Paggawa ng Epektibong News Broadcasting Script

    So, paano ba talaga ginagawa ang isang news broadcasting script Tagalog ? Maraming proseso ang kailangan nating pagdaanan para matiyak na ang balitang ating ihahatid ay hindi lang tama, kundi malinaw din at makabuluhan. Una, ang pagpili ng paksa . Hindi lahat ng kwento ay balita. Kailangan nating suriin kung ano ang pinakamahalaga, pinakabagong, at pinaka-interesante para sa ating mga manonood. Ito ang pundasyon ng lahat. Kapag napili na ang paksa, susunod ang pananaliksik . Dito papasok ang pagkalap ng lahat ng impormasyon – mga datos, pangalan ng mga sangkot, lugar, oras, at iba pang mahahalagang detalye. Hindi pwedeng manghuhula lang tayo, guys. Kailangan natin ng mga patunay . Pagkatapos mangalap ng impormasyon, ang susunod na hakbang ay ang pagsasaayos ng kwento . Ito na yung tinatawag nating structuring the narrative . Paano natin sisimulan ang balita? Ano ang mga importanteng puntos na kailangan nating banggitin agad? At paano natin ito tatapusin? Karaniwan, nagsisimula tayo sa pinakamahalagang impormasyon – ang tinatawag na inverted pyramid . Ito ay para kung sakaling maputol ang balita, ang pinaka-importanteng bahagi ay naihatid na. Sa pagsusulat ng script, mahalaga ang paggamit ng simpleng lenggwahe . Iwasan natin ang mga jargon o teknikal na salita na hindi maintindihan ng karaniwang tao. Kung kailangan gamitin, ipaliwanag ito nang maayos. Ang pagiging concise ay susi rin. Ang mga balita ay may takdang oras, kaya hindi natin pwedeng pahabain nang sobra ang bawat kwento. Kailangan bawat salita ay may silbi. Isipin niyo ang mga anchor, paano sila magsalita? Diba natural at parang nakikipag-usap lang? Iyan ang dapat nating gayahin sa pagsusulat. Subukan nating basahin nang malakas ang ating isinulat. Makakatulong ito para malaman kung natural ba ang daloy ng mga salita at kung may mga bahaging kailangang ayusin. Ang pagiging tumpak sa facts ay hindi pwedeng isakripisyo. Double-check lahat ng impormasyon bago isulat sa script. Kung may quotes, siguraduhing tama ang pagkakasabi. At higit sa lahat, ang pagiging objective ay napakahalaga. Kahit may personal na opinyon tayo, hindi ito dapat lumalabas sa balita. Ang tungkulin natin ay magbigay ng impormasyon, hindi manghikayat o mang-impluwensya. Kung ang paksa ay sensitibo, kailangan nating maging maingat sa pagpili ng salita at sa paraan ng paglalahad. Ito ang mga mahahalagang hakbang para makabuo ng isang matatag at maaasahang news broadcasting script Tagalog na magbibigay ng tamang impormasyon sa ating mga kababayan.

    Mga Tips para sa Isang Nakakaengganyong Balitang Script

    Alam niyo, guys, hindi lang basta impormasyon ang kailangan ng mga tao. Kailangan din nila ng balitang nakakaantig , nakakapukaw ng interes , at madaling sundan . Kaya naman, para sa ating news broadcasting script Tagalog , hindi lang tayo pwedeng basta maglista ng facts. Kailangan nating bigyan ito ng buhay! Ang unang tip ay ang pagbuo ng magandang introduksyon . Dito pa lang, dapat makuha na natin ang atensyon ng ating manonood. Gumamit ng mga tanong na mapapaisip sila, o isang nakakagulat na pahayag na magpapahintulot sa kanila na magpatuloy sa panonood. Halimbawa, sa halip na sabihing "May aksidente pong nangyari", maaari nating simulan ng " Nakakagimbal na banggaan ang naganap kaninang madaling araw sa North Luzon Expressway, ilang katao ang iniulat na sugatan. " Mapapaisip na agad ang tao kung ano ang nangyari. Pangalawa, gamitin ang malinaw at nakalarawang lenggwahe . Kahit Tagalog ang gamit natin, hindi natin kailangang gamitin ang pinaka-komplikadong salita. Sa halip, gamitin natin ang mga salitang nagbibigay ng larawan sa isipan ng manonood. Imbes na "may nasira", sabihin nating " nagkalat ang mga bubong " o " bumagsak ang pader ". Pangatlo, ipakilala ang mga tao sa kwento . Kung may mga biktima o testigo, bigyan sila ng boses. Ang mga quotes mula sa kanila ay nagbibigay ng emosyonal na bigat sa balita at nagpapakita na hindi lang ito basta usap-usapan, kundi may tunay na mga taong apektado. Pero siyempre, kailangan natin silang i-introduce nang maayos, sabihin ang kanilang pangalan at kung sino sila. Pang-apat, panatilihing balanse ang tono . Mahalaga ang pagiging obhetibo, pero hindi ibig sabihin nito ay wala tayong emosyon. Kailangan natin ng pakikiramay sa mga biktima, at pagkilala sa mga bayaning tumutulong. Ang balanse ng impormasyon at damdamin ay nagpapaganda sa isang news broadcasting script Tagalog . Panglima, gamitin nang wasto ang transitions . Paano tayo lilipat mula sa isang kwento patungo sa susunod? Kailangan itong maging maayos para hindi magulat ang manonood. Ang paggamit ng mga salitang tulad ng " Samantala... ", " Sa kabilang banda... ", o " At sa ibang balita... " ay nakakatulong para sa maayos na daloy. Panghuli, tapusin nang may linaw o paalala . Kung ang balita ay nangangailangan ng follow-up, sabihin ito. Kung mayroon namang mahalagang paalala para sa publiko, huwag kalimutang isama. Ang isang magandang pagtatapos ay nag-iiwan ng positibong impresyon. Tandaan, ang isang epektibong news broadcasting script Tagalog ay hindi lang tungkol sa kung ano ang sinasabi, kundi kung paano ito sinasabi. Ito ang nagpapatatak sa balita sa puso at isipan ng ating mga manonood.

    Pagharap sa mga Hamon sa Pagsusulat ng News Broadcasting Script

    Bilang mga mamamahayag, hindi natin maitatanggi na may mga hamon tayong hinaharap sa bawat paggawa ng news broadcasting script Tagalog . Isa na rito ang kakulangan sa oras . Minsan, ang mga balita ay biglaan at kailangan natin itong i-report kaagad. Sa mga ganitong pagkakataon, ang pagiging organisado at mabilis mag-isip ang pinakamahalaga. Kailangan nating magawa ang script nang mabilis, pero hindi ibig sabihin nito ay isasakripisyo natin ang kalidad at katumpakan. Ang paggamit ng mga template o standard na istruktura ay makakatulong para mapabilis ang proseso. Ang isa pang malaking hamon ay ang pagtiyak sa katumpakan ng impormasyon , lalo na sa panahon ng fake news . Kailangan nating maging masigasig sa pag- verify ng sources . Hindi tayo pwedeng maniwala agad sa mga kumakalat sa social media. Kailangan nating humingi ng kumpirmasyon mula sa mga opisyal na ahensya, sa mga eksperto, o sa mga taong direktang sangkot sa pangyayari. Ang pagiging kritikal sa pagtingin sa impormasyon ay hindi dapat mawala sa ating sistema. Minsan, may mga balita na emotive o controversial . Dito pumapasok ang hamon ng pagiging balanse at patas . Hindi natin dapat hayaang ang ating personal na opinyon o emosyon ay makasira sa pagiging obhetibo ng balita. Kailangan nating ilahad ang lahat ng panig ng kwento nang walang kinikilingan. Ang paggamit ng neutral na pananalita ay mahalaga. Halimbawa, sa halip na " nagkamali ", maaari nating gamitin ang " nagkaroon ng pagkakataon ng hindi pagkakaunawaan " kung kinakailangan, depende sa konteksto. Ang pag-unawa sa target audience ay isa ring hamon. Iba ang paraan ng pagsulat para sa mga bata, sa mga propesyonal, o sa mga nasa probinsya. Kailangan nating i-angkop ang lenggwahe at estilo ng ating news broadcasting script Tagalog upang mas maintindihan at mas ma-appreciate ng mga manonood. Ang pagiging sensitive sa kultura at mga tradisyon ng ating mga manonood ay kailangan din. Halimbawa, kung ang balita ay tungkol sa isang partikular na rehiyon, dapat mayroon tayong sapat na kaalaman tungkol sa kanilang kultura upang hindi tayo makapagbigay ng impormasyong hindi kaaya-aya. Sa huli, ang pagharap sa mga hamong ito ay bahagi ng ating trabaho. Sa pamamagitan ng patuloy na pag-aaral , pagsasanay , at dedikasyon sa ating propesyon, masisiguro nating ang bawat news broadcasting script Tagalog na ating gagawin ay magiging isang asset sa pagbibigay ng tamang impormasyon sa ating bayan.

    Konklusyon: Ang Epekto ng Mahusay na News Broadcasting Script sa Lipunan

    Sa pagtatapos ng ating paglalakbay sa mundo ng news broadcasting script Tagalog , malinaw na ang kahalagahan ng isang mahusay na script ay hindi matatawaran. Hindi lamang ito basta gabay para sa mga anchor at reporter, kundi ito rin ang buhay ng balita mismo. Ang isang maayos na pagkakasulat , tumpak na impormasyon , at nakakaengganyong paglalahad ay may malaking epekto sa ating lipunan. Kapag ang balita ay malinaw at madaling maintindihan, mas marami ang makakaalam at makakaunawa sa mga isyu na kinakaharap ng ating bansa. Ito ay nagbubukas ng pintuan para sa masusing pag-uusap , pagkakaroon ng kamalayan , at maging sa pagkilos . Halimbawa, ang isang balitang naglalahad ng problema sa kalikasan ay maaaring maghikayat sa mga tao na maging mas responsable sa pagtatapon ng basura o sumali sa mga tree-planting activities. Ang isang balitang nagtutok sa mga kahirapan na dinaranas ng ilang sektor ng lipunan ay maaaring magudyok sa iba na magbigay ng tulong o suporta. Sa kabilang banda, ang isang hindi malinaw o mali ang impormasyon na balita ay maaaring magdulot ng kalituhan , takot , at maging ng maling desisyon . Maaari pa itong maging sanhi ng hindi pagkakaunawaan sa pagitan ng mga tao. Kaya naman, ang responsibilidad ng bawat isa sa likod ng paggawa ng news broadcasting script Tagalog ay napakalaki. Kailangan nating maging mapanuri , matapat , at responsable sa bawat salitang ating isinusulat. Ang pagiging patas at pagbibigay ng pantay na espasyo sa iba't ibang panig ng isyu ay mahalaga rin para sa isang malusog na demokrasya. Sa paglalakbay natin sa hinaharap, patuloy na magiging mahalaga ang pagpapahusay sa ating mga kasanayan sa pagsusulat ng balita. Ang pagyakap sa teknolohiya , ang patuloy na pag-aaral , at ang pagiging malikhain sa paglalahad ay ilan lamang sa mga paraan upang masigurong ang ating mga balita ay patuloy na magiging makabuluhan at epektibo. Sa huli, ang layunin natin ay maghatid ng balitang hindi lang nagbibigay-alam, kundi nagbibigay-inspirasyon at nagpapabuti sa ating lipunan. Kaya't sa susunod na manonood kayo ng balita, sana ay mas pahalagahan ninyo ang bawat salita at ang bawat kwentong inyong maririnig, dahil malaki ang papel ng news broadcasting script Tagalog sa paghubog ng ating kamalayan at sa pagpapatakbo ng ating lipunan.