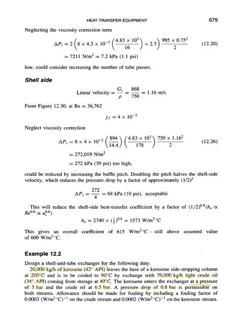
Coulson & Richardson 2002: A Comprehensive Look

M.Maidsafe 94 views
Coulson & Richardson 2002: A Comprehensive Look

Coulson & Richardson 2002: A Comprehensive Look

Hey guys, let’s dive into the nitty-gritty of Coulson & Richardson 2002 , a topic that might seem a bit niche, but trust me, it holds a lot of weight in certain fields. When we talk about Coulson & Richardson 2002 , we’re primarily referencing a seminal work in chemical engineering, specifically related to fluid flow and heat transfer. This isn’t just some dusty old textbook; it’s a foundational piece that many engineers still lean on today. Think of it as the bedrock upon which many modern advancements in process design are built. We’ll be exploring its key contributions, its enduring relevance, and why understanding Coulson & Richardson 2002 is still super important for anyone serious about chemical process design and optimization. So, buckle up, because we’re about to unpack this influential publication and see what makes it tick.

Understanding the Core Concepts of Coulson & Richardson 2002

Alright team, let’s get down to brass tacks with Coulson & Richardson 2002 . What exactly makes this publication so special? At its heart, this work delves deep into the fundamental principles of fluid mechanics and heat transfer, presenting them in a way that’s both rigorous and incredibly accessible. The authors, Coulson and Richardson, did an amazing job of breaking down complex phenomena into digestible chunks. This made their work a go-to resource for students and seasoned professionals alike. When you pick up Coulson & Richardson 2002 , you’re not just reading; you’re engaging with decades of accumulated knowledge. They cover everything from the basics of fluid properties and flow regimes – like laminar versus turbulent flow, which is a biggie – to the intricate details of heat exchangers and mass transfer operations. The emphasis is on practical application, meaning they don’t just present theory; they show you how to use that theory to solve real-world engineering problems. This practical approach is probably why Coulson & Richardson 2002 has stood the test of time. It’s not just about understanding what happens, but why it happens and how to control it for efficient process design. They meticulously explain concepts like pressure drop in pipes, pumping requirements, heat transfer coefficients, and the design of various types of heat exchange equipment. For anyone involved in designing chemical plants, optimizing existing processes, or even just troubleshooting operational issues, the insights provided in Coulson & Richardson 2002 are absolutely invaluable. It’s the kind of knowledge that prevents costly mistakes and leads to more efficient, safer, and profitable operations. We’re talking about the core of chemical engineering here, the stuff that makes chemical plants actually work !

Fluid Flow Dynamics: The Backbone of Chemical Processes

Now, let’s zoom in on a critical aspect covered extensively in Coulson & Richardson 2002 : fluid flow dynamics. Seriously, guys, this is the absolute backbone of almost every chemical process out there. If you can’t move your fluids efficiently and predictably, your whole operation grinds to a halt. Coulson and Richardson laid out the fundamental principles of fluid behavior with such clarity that it became the standard reference. They meticulously explored concepts like viscosity, density, and surface tension, explaining how these properties dictate how a fluid will behave under different conditions. You’ll find in-depth discussions on the difference between laminar flow, where the fluid moves in smooth, parallel layers, and turbulent flow, characterized by chaotic, irregular motion. Understanding this distinction is crucial because it dramatically affects things like friction losses, mixing efficiency, and heat transfer rates. The authors provided practical equations and methodologies to calculate flow rates, pressure drops, and the power required for pumping. This is gold, pure gold, for engineers designing piping systems or selecting the right pumps. Think about it: miscalculating pressure drop can lead to under-designed or over-designed systems, both of which are costly and inefficient. Coulson & Richardson 2002 equips you with the tools to get it right. They also cover flow in different geometries, not just pipes, but also packed beds, fluidized beds, and other equipment commonly found in chemical plants. This comprehensive approach ensures that engineers have a solid understanding of fluid behavior in virtually any scenario they might encounter. The emphasis on dimensional analysis and dimensionless numbers, like the Reynolds number, is also a key takeaway. These tools allow engineers to scale up laboratory experiments to industrial-sized plants, predicting how fluid behavior will change with size and operating conditions. It’s this blend of fundamental theory and practical application that makes the fluid flow sections of Coulson & Richardson 2002 so enduringly important. Without a firm grasp of these concepts, designing safe, efficient, and cost-effective chemical processes would be a near-impossible task. It’s the kind of knowledge that keeps the reactors full, the products flowing, and the profits rolling in, guys!

Heat Transfer Principles: Efficient Energy Management

Moving on, let’s talk about another cornerstone of Coulson & Richardson 2002 : heat transfer principles. In the world of chemical engineering, managing energy is just as critical as managing materials. Efficient heat transfer is key to everything from heating reactants to cooling products, and sometimes, even to generating power. Coulson and Richardson really knocked it out of the park with their treatment of this subject. They break down the three fundamental modes of heat transfer – conduction, convection, and radiation – explaining the physics behind each with remarkable clarity. You’ll learn how heat moves through solid materials (conduction), how it’s transferred by the movement of fluids (convection), and how it travels via electromagnetic waves (radiation). This foundational understanding is absolutely vital for designing effective heat exchange equipment. The book meticulously covers topics like heat transfer coefficients, overall heat transfer coefficients, and the logarithmic mean temperature difference (LMTD), which are essential for calculating the duty of heat exchangers. For anyone designing or operating equipment like shell-and-tube heat exchangers, plate heat exchangers, or condensers, the methodologies presented in Coulson & Richardson 2002 are indispensable. They provide practical methods for calculating heat transfer areas required for specific heating or cooling duties, taking into account fluid properties, flow rates, and temperature changes. This isn’t just theoretical mumbo-jumbo; this is the stuff that directly impacts energy efficiency and operational costs. Inefficient heat transfer means wasted energy, leading to higher utility bills and a larger environmental footprint. Coulson & Richardson 2002 guides engineers toward designs that minimize energy consumption while maximizing process efficiency. They also discuss fouling, a common problem where deposits build up on heat transfer surfaces, reducing performance. Understanding how to account for fouling and design equipment that is easier to clean is a critical part of the practical advice offered. So, whether you’re dealing with heating a reaction mixture or cooling a product stream, the principles of heat transfer detailed in Coulson & Richardson 2002 provide the essential knowledge base for making smart, efficient design decisions. It’s all about optimizing energy use, which is a huge win for both your bottom line and the planet, folks!

Mass Transfer Operations: Separating and Purifying

Let’s shift gears and talk about mass transfer operations, another critical area where Coulson & Richardson 2002 shines. In chemical engineering, we’re often tasked with separating desired products from byproducts or purifying raw materials. Mass transfer is the fundamental principle that governs these separation processes. Coulson and Richardson provided an outstanding overview of the theories and practical applications involved. They delve into concepts like diffusion, where molecules move from an area of high concentration to low concentration, and convection, where mass is transported by the bulk movement of a fluid. Understanding these mechanisms is key to designing efficient separation equipment. The book covers a wide range of unit operations that rely heavily on mass transfer, including distillation, absorption, stripping, extraction, and drying. For instance, in distillation, you’re essentially using differences in vapor pressure to separate components of a liquid mixture, relying on repeated vaporization and condensation steps – a classic mass transfer process. Coulson & Richardson 2002 provides the theoretical framework and practical design equations needed to size and operate distillation columns effectively. Similarly, in absorption, a gas is dissolved into a liquid solvent, and the principles detailed in the book help engineers design absorbers that achieve the desired level of gas removal. They discuss concepts like interfacial area, mass transfer coefficients, and equilibrium relationships, which are essential for predicting the performance of these operations. The authors emphasize the importance of understanding phase equilibria – how different components distribute themselves between liquid and vapor phases, or between two immiscible liquid phases – as this dictates the theoretical limit of separation. Coulson & Richardson 2002 offers practical tools and correlations derived from experimental data, allowing engineers to move beyond pure theory and design equipment that works in the real world. This section is crucial for anyone involved in refining, petrochemicals, pharmaceuticals, or any industry where purification and separation are paramount. Getting mass transfer right means higher product purity, reduced waste, and more efficient resource utilization. It’s a fundamental aspect of chemical processing that Coulson & Richardson 2002 makes accessible and actionable for engineers everywhere. Seriously, this is the knowledge that separates the good engineers from the great ones, guys!

The Enduring Legacy of Coulson & Richardson 2002

So, why are we still talking about Coulson & Richardson 2002 years after its initial publication? It’s all about its enduring legacy and how it continues to shape the field of chemical engineering. Unlike some textbooks that become outdated quickly, the fundamental principles covered in Coulson & Richardson 2002 remain incredibly relevant. The laws of fluid mechanics, heat transfer, and mass transfer haven’t changed, and this work presents them with a timeless clarity. Many engineers who graduated in 2002, or even before, will have cut their teeth on previous editions, and the 2002 edition simply refined and updated this foundational knowledge. It serves as a critical reference for both academic learning and professional practice. Students use it to grasp the core concepts, while practicing engineers refer back to it for detailed design methods, troubleshooting, and problem-solving. The book’s strength lies in its ability to bridge the gap between theoretical understanding and practical application. It doesn’t just present equations; it explains the underlying physics and provides examples of how to apply them in real-world scenarios. This makes it an invaluable tool for tackling complex design challenges. Furthermore, the comprehensive nature of Coulson & Richardson 2002 means it covers a broad spectrum of chemical engineering operations, making it a one-stop shop for many fundamental engineering needs. Its methodical approach and clear explanations have fostered a generation of engineers equipped with a solid understanding of process fundamentals. The continued reliance on its principles in modern simulation software and design tools is a testament to its robustness. Even with the advent of advanced computational fluid dynamics (CFD) and sophisticated process simulators, the foundational understanding provided by Coulson & Richardson 2002 is essential for interpreting results, validating models, and making informed engineering judgments. It’s the bedrock that supports all these advanced tools. The fact that engineers continue to cite and use this work, even in 2002 and beyond, speaks volumes about its quality and lasting impact. It’s not just a book; it’s a cornerstone of chemical engineering education and practice that continues to provide immense value.

Why Coulson & Richardson 2002 Remains a Go-To Resource

Let’s break down why Coulson & Richardson 2002 is still a go-to resource for so many of us in the engineering world. First off, it’s the clarity and comprehensiveness . The authors managed to distill complex subjects like fluid dynamics, heat transfer, and mass transfer into a format that’s remarkably easy to understand without sacrificing technical accuracy. For students trying to get their heads around these concepts for the first time, this is a lifesaver. For experienced engineers, it’s a reliable reference to quickly refresh or verify specific details. Secondly, practical applicability is key. This isn’t just a theoretical treatise; Coulson & Richardson 2002 is packed with worked examples, design procedures, and correlations that engineers can directly apply to their projects. This hands-on approach is what makes it so valuable in day-to-day engineering practice. You can pick it up and find a method to calculate pressure drop, design a heat exchanger, or estimate the efficiency of a separation process. Thirdly, its logical structure and systematic approach make it easy to navigate. The book builds concepts progressively, starting with fundamentals and moving towards more complex applications. This logical flow helps in building a solid understanding from the ground up. The information is well-organized, allowing you to find what you need efficiently. Fourth, enduring relevance of fundamental principles . The core physics of how fluids flow, heat moves, and mass is transferred hasn’t changed. Coulson & Richardson 2002 focuses on these fundamental laws, which are timeless. While technology evolves, these basic principles remain constant, making the knowledge within the book perpetually useful. Finally, it’s the trust and reputation . Over the years, Coulson and Richardson’s work has built a strong reputation for accuracy and reliability. It’s a trusted source that engineers know they can count on. When you’re making critical design decisions, having a resource like Coulson & Richardson 2002 that you can trust implicitly is incredibly important. It’s this combination of clarity, practicality, fundamental relevance, and trustworthiness that keeps Coulson & Richardson 2002 at the top of the recommendation list for chemical engineering resources, guys. It’s the real deal!

Impact on Modern Chemical Engineering Education and Practice

The impact of Coulson & Richardson 2002 on modern chemical engineering education and practice is nothing short of profound. For educators, it has served as a cornerstone textbook for decades, providing a structured and reliable curriculum for teaching fundamental principles. Its clear explanations and practical examples enable instructors to effectively convey complex concepts to the next generation of engineers. Many university courses still rely heavily on the framework established in this work, ensuring that students graduate with a robust understanding of the core disciplines. In practice, Coulson & Richardson 2002 continues to be an indispensable reference. Engineers in industries ranging from petrochemicals and pharmaceuticals to food processing and environmental engineering utilize its methodologies daily. When designing new plants, troubleshooting existing operations, or optimizing processes for efficiency and safety, engineers frequently turn to the guidelines and data presented in this publication. The principles of fluid mechanics, heat transfer, and mass transfer outlined in Coulson & Richardson 2002 are the building blocks for virtually all chemical process design. Even with the advent of sophisticated software tools, the foundational knowledge derived from this book is essential for interpreting simulation results, validating models, and making sound engineering judgments. It provides the essential context and understanding that allows engineers to effectively use these advanced tools. Furthermore, its influence extends to the development of industry standards and best practices. The methodologies and correlations presented have been validated through years of application, making them a reliable basis for design codes and guidelines. In essence, Coulson & Richardson 2002 doesn’t just teach engineers how to design; it teaches them why certain designs are effective and safe. This deep understanding fosters innovation and continuous improvement within the field. Its legacy is etched in the countless processes and plants that operate efficiently and safely worldwide, a direct result of the knowledge it has imparted. It truly is a foundational pillar that supports the entire structure of modern chemical engineering, ensuring both education and practice remain grounded in solid, reliable principles.

Conclusion: The Timeless Value of Coulson & Richardson 2002

In conclusion, guys, the enduring significance of Coulson & Richardson 2002 cannot be overstated. This publication represents more than just a collection of engineering principles; it embodies a distillation of decades of knowledge, presented with unparalleled clarity and practical relevance. Whether you’re a student grappling with the fundamentals of fluid mechanics or a seasoned professional designing complex industrial processes, Coulson & Richardson 2002 offers invaluable insights and tools. Its comprehensive coverage of fluid flow, heat transfer, and mass transfer operations provides a solid foundation for tackling a vast array of engineering challenges. The emphasis on bridging theory with practical application ensures that the knowledge gained is directly applicable to real-world problems, leading to more efficient, safer, and cost-effective designs. The legacy of Coulson and Richardson is cemented in its continuous use across academic institutions and industrial settings, serving as a testament to its accuracy and reliability. Even in our rapidly advancing technological landscape, the fundamental principles detailed within its pages remain the bedrock of chemical engineering. It’s this timeless quality that makes Coulson & Richardson 2002 an essential resource, a trusted companion for any engineer dedicated to excellence in their field. So, if you’re looking to deepen your understanding of core chemical engineering concepts or need a reliable reference for design and problem-solving, Coulson & Richardson 2002 is definitely the place to start. Its impact is undeniable, and its value is, frankly, timeless. Keep learning, keep designing, and keep referencing the classics, folks!