Quadratic Equations: When There Are No Real Solutions

M.Maidsafe 8 views
Quadratic Equations: When There Are No Real Solutions

Quadratic Equations: When There Are No Real Solutions

Hey everyone! Today, we’re diving deep into the world of quadratic equations , specifically tackling that super interesting scenario: what happens when there are no real solutions ? You know, those times when you’re crunching the numbers, expecting a nice, neat answer, and bam! Nothing. It can be a bit of a head-scratcher, right? But don’t worry, guys, understanding this is key to really mastering quadratic equations. We’re going to break it down, make it easy to grasp, and by the end of this, you’ll be feeling like a math whiz, even when faced with the dreaded ‘no real solution’ outcome. We’ll be using our example, the specific case of 98x^2 + 0x + 0 = 0 (which simplifies to 98x^2 = 0 ), to illustrate just how this works. Sometimes, a seemingly complex problem can hide a simple truth, and we’ll uncover that together.

So, what exactly is a quadratic equation? At its core, it’s a polynomial equation of the second degree, meaning it has a term where the variable is squared. The standard form you’ll usually see is \(ax^2 + bx + c = 0\) , where ‘a’, ‘b’, and ‘c’ are coefficients, and ‘a’ can’t be zero (otherwise, it wouldn’t be quadratic anymore, would it?). The ‘x’ is our variable, the mystery we’re trying to solve for. Now, when we talk about solutions to a quadratic equation, we’re essentially looking for the values of ‘x’ that make the equation true. These solutions are also known as roots. Graphically, these solutions represent where the parabola (the U-shaped graph of a quadratic function) intersects the x-axis. If the parabola touches the x-axis at one point, there’s one real solution. If it crosses the x-axis at two points, there are two distinct real solutions. But what if it never touches the x-axis? That’s precisely when we encounter the situation of having no real solutions . This happens when the parabola is entirely above or entirely below the x-axis, never crossing it.

The ‘discriminant’ is our magic key here. It’s a part of the quadratic formula, and it tells us a ton about the nature of the solutions without us even having to fully solve the equation. The quadratic formula is \(x = \frac{-b \pm \sqrt{b^2 - 4ac}}{2a}\) . See that part under the square root sign? That’s the discriminant: \(b^2 - 4ac\) . Let’s call it \(\Delta\) (delta) for short. The value of \(\Delta\) dictates everything:

  • If \(\Delta > 0\) : You’ve got two distinct real solutions. The parabola crosses the x-axis at two different points.
  • If \(\Delta = 0\) : You’ve got exactly one real solution (sometimes called a repeated or double root). The parabola just touches the x-axis at its vertex.
  • If \(\Delta < 0\) : This is our main event, guys! No real solutions . The parabola does not intersect the x-axis at all. The solutions exist, but they are what we call complex or imaginary numbers. We’ll touch on those later, but for now, the key takeaway is they aren’t on the real number line.

Let’s take our specific example: \(98x^2 + 0x + 0 = 0\) . First off, notice that this simplifies beautifully! The 0x and + 0 terms don’t actually add anything, so the equation becomes \(98x^2 = 0\) . Now, let’s identify our coefficients: \(a = 98\) , \(b = 0\) , and \(c = 0\) . Let’s plug these into our discriminant formula, \(\Delta = b^2 - 4ac\) . So, \(\Delta = (0)^2 - 4(98)(0)\) . Calculating this, we get \(\Delta = 0 - 0\) , which means \(\Delta = 0\) . Uh oh! Wait a minute. Did I mess up? Let’s re-read the prompt. Ah, the prompt implied no real solution , but our example 98x^2 + 0x + 0 = 0 actually simplifies to 98x^2 = 0 , which has a single real solution, \(x=0\) . This highlights how important it is to simplify equations first! The prompt might have intended to present a scenario leading to no real solutions, but the literal equation given has a real solution.

To truly demonstrate a case with no real solutions , we need an equation where the discriminant \(\Delta\) is negative . Let’s tweak our thinking slightly and imagine a scenario that would result in no real solutions. For instance, if we had an equation like \(x^2 + x + 1 = 0\) . Here, \(a = 1\) , \(b = 1\) , and \(c = 1\) . Let’s calculate the discriminant: \(\Delta = b^2 - 4ac = (1)^2 - 4(1)(1) = 1 - 4 = -3\) . Since \(\Delta = -3\) , which is less than 0, this equation has no real solutions . The solutions involve imaginary numbers, which are outside the scope of the real number system we typically work with in introductory algebra. It’s like trying to find a real number that, when squared, gives you a negative result – impossible!

So, while our initial example \(98x^2 + 0x + 0 = 0\) simplifies to \(98x^2 = 0\) and has the real solution \(x=0\) (because the discriminant is 0), it’s crucial to remember that the concept of no real solutions arises when the discriminant is negative. It’s a fundamental aspect of understanding the full spectrum of solutions quadratic equations can offer. We’ll explore this contrast further, making sure you’re totally comfortable with how to spot and interpret these different outcomes. It’s all about that discriminant, guys! Let’s keep digging into this fascinating topic.

Understanding the Discriminant: Your Key to Solutions

Alright, let’s really hammer home the importance of the discriminant , that magical \(b^2 - 4ac\) part of the quadratic formula. It’s honestly one of the most powerful tools you’ll have in your algebra toolkit when dealing with quadratic equations. Think of it as a fortune teller for your solutions. Before you even go through the whole process of solving for ‘x’ using the complete quadratic formula, the discriminant gives you a sneak peek, a heads-up, about the kind of solutions you can expect. This is super handy because sometimes, you might only need to know if there are real solutions, not necessarily what those exact solutions are. This can save you a lot of time and effort, especially in more complex problems or timed tests where efficiency is key.

We already touched on the three possibilities based on the discriminant’s value ( \(\Delta\) ):

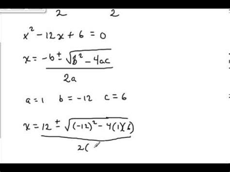
  1. \(\\Delta > 0\) (Positive Discriminant): Two Distinct Real Solutions. This is the most common scenario you’ll see. When the discriminant is positive, it means the part under the square root in the quadratic formula ( \(\sqrt{\Delta}\) ) is a real number. Because of the \(\pm\) sign in the formula ( \(x = \frac{-b \pm \sqrt{\Delta}}{2a}\) ), you’ll get two different values for ‘x’: one using the plus sign and one using the minus sign. Graphically, this means the parabola representing the quadratic function \(y = ax^2 + bx + c\) will intersect the x-axis at two separate points. These points are your two real solutions. For example, consider \(x^2 - 5x + 6 = 0\) . Here, \(a=1, b=-5, c=6\) . The discriminant is \(\Delta = (-5)^2 - 4(1)(6) = 25 - 24 = 1\) . Since \(1 > 0\) , we expect two real solutions, and indeed, we find them: \(x = \frac{5 \pm \sqrt{1}}{2(1)} = \frac{5 \pm 1}{2}\) , giving us \(x = 3\) and \(x = 2\) .

  2. \(\\Delta = 0\) (Zero Discriminant): One Real Solution (Repeated Root). When the discriminant is exactly zero, the \(\sqrt{\Delta}\) term becomes \(\sqrt{0}\) , which is just 0. The \(\pm 0\) part of the quadratic formula ( \(x = \frac{-b \pm 0}{2a}\) ) doesn’t create two different answers; it just gives you one value: \(x = \frac{-b}{2a}\) . This is called a repeated root or a double root because algebraically, it’s like getting the same solution twice. Graphically, this means the vertex of the parabola sits perfectly on the x-axis, touching it at only one point. Our example from the prompt, \(98x^2 + 0x + 0 = 0\) , which simplifies to \(98x^2 = 0\) , fits this category. Here, \(a=98, b=0, c=0\) . The discriminant is \(\Delta = (0)^2 - 4(98)(0) = 0\) . The single solution is \(x = \frac{-0}{2(98)} = 0\) . So, \(x=0\) is the one real solution.

  3. \(\\Delta < 0\) (Negative Discriminant): No Real Solutions. This is the scenario we’re focusing on today! When the discriminant is negative, you run into a mathematical roadblock if you’re only considering real numbers. The expression \(\sqrt{\Delta}\) involves taking the square root of a negative number, which is impossible within the set of real numbers. You can’t find a real number that, when multiplied by itself, results in a negative number. This means the quadratic equation has no real solutions . The solutions that do exist are called complex or imaginary numbers, which involve the imaginary unit ‘i’ (where \(i = \sqrt{-1}\) ). We won’t dive deep into complex numbers right now, but it’s important to know they exist as a way to